Une nouvelle prédiction des spectres en énergie des antineutrinos des réacteurs de moins en moins compatible avec l'existence de neutrinos stériles
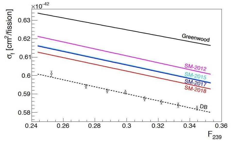
La radioactivité bêta des produits issus de la fission dans les réacteurs nucléaires est à l'origine de leur très grande production d'antineutrinos. En 2011, la révision du modèle théorique de conversion électrons/antineutrinos a mis en évidence un déficit de 6% entre les antineutrinos prédits et ceux mesurés à proximité des réacteurs. Deux hypothèses étaient envisagées alors : il existait d'autres types de neutrinos, stériles, qu'il fallait alors caractériser ou le modèle était imparfait. Le groupe SEN travaille sur le seul modèle alternatif à la conversion : la méthode de sommation ainsi que sur des mesures expérimentales permettant notamment d'améliorer la prédictivité de ce dernier. Le modèle consiste à étudier minutieusement la désintégration nucléaire des principaux contributeurs à l’émission des antineutrinos dans le combustible et à sommer les contributions. Associé à la collaboration TAGS, le groupe a pu mesurer et analyser jusqu'à maintenant 15 noyaux majeurs pour la prédiction des spectres des antineutrinos. La prise en compte de ces noyaux corrigés de l'effet Pandémonium dans le calcul de flux d'antineutrinos produits montre un effet systématique : le flux prédit se rapproche inlassablement du flux mesuré (cf figure) et semble confirmer les résultats des expériences neutrinos quant à l’imperfection du modèle de conversion. L'écart de flux se resserre à 2% avec les mesures de flux de la collaboration Daya Bay et l'impact d'autres noyaux TAGS sur le modèle sera évalué prochainement.
Légende : En 2011 le modèle de sommation (Greenwood) alors compatible avec le modèle de conversion prévoyait 6% d’antineutrinos de plus que ce qui était mesuré par Daya Bay (DB). L’amélioration du modèle nucléaire en 2012, 2015, 2017 puis 2018 grâce aux données TAGS a permis de réduire l’écart à 2%. Figure M. Estienne et al. Phys. Rev. Lett. 123 (2019) 022502.
